智能
问答
政务
微信
微信公众号
政务
手机
移动门户
长者助手
无障碍
手机版
网站支持IPV6
网站首页
聚焦汕尾
政务公开
政务服务
政民互动
走进汕尾
无障碍版
关怀版
网站首页
聚焦汕尾
政务公开
政务服务
政民互动
走进汕尾
当前位置:
首页
>
汕尾市人民政府门户网站
>
政务公开
>
基础信息公开
>
“双随机、一公开”
>
随机抽查事项清单
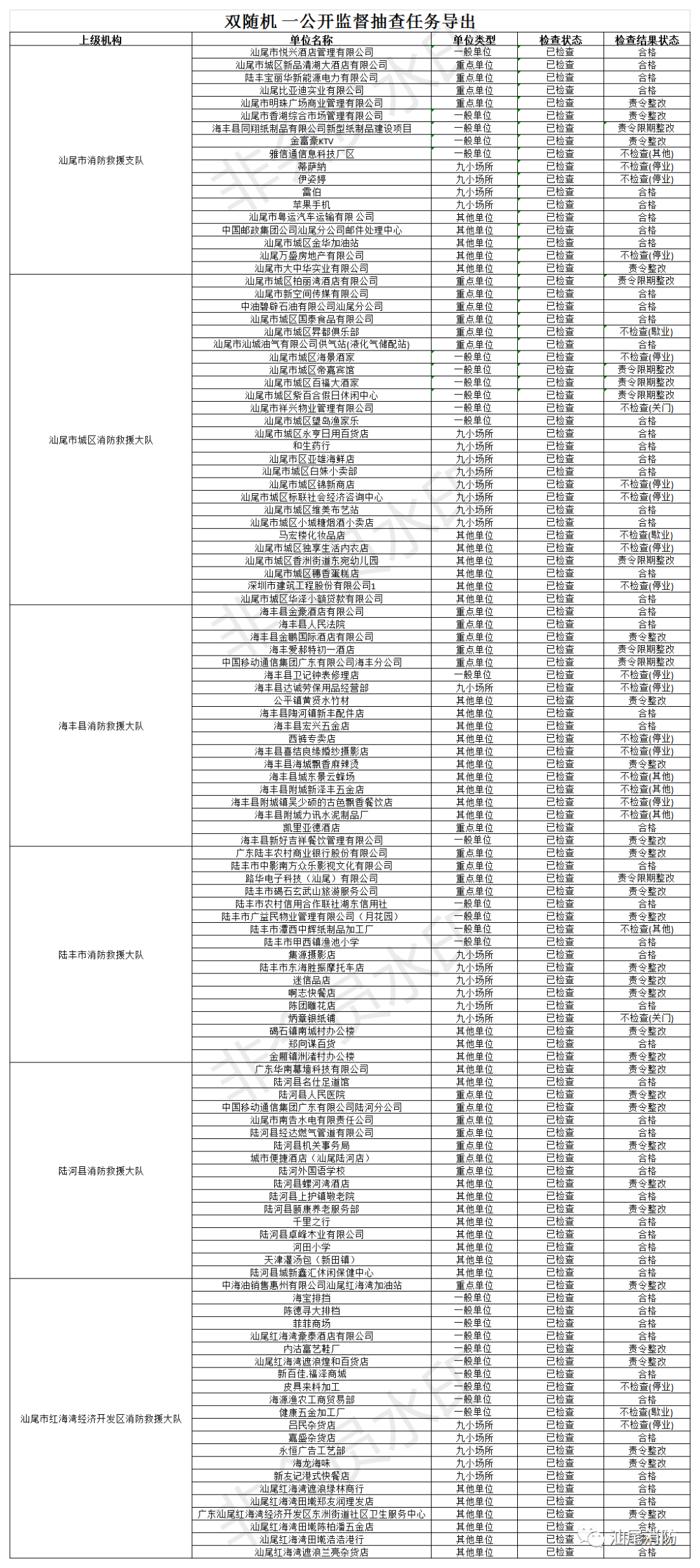
2020年10月份汕尾市消防救援支队“双随机、一公开”消防监督抽查结果公示
2020-11-02 10:55
来源: 汕尾市消防救援支队
发布机构:汕尾市人民政府门户网站
【字体:
大
中
小
】
分享到:
推进全市火灾防控工作,进一步预防和减少火灾危害,保障公共安全,督促各单位、各场所履职尽责,根据有关法律法规规定,汕尾市消防救援支队依法对汕尾市有关单位进行消防监督抽查,现将2020年10月份“双随机、一公开”消防监督抽查结果公示如下:
关联稿件:
相关附件:
扫一扫在手机打开当前页
【TOP】
【
打印页面
】【
关闭页面
】
推进全市火灾防控工作,进一步预防和减少火灾危害,保障公共安全,督促各单位、各场所履职尽责,根据有关法律法规规定,汕尾市消防救援支队依法对汕尾市有关单位进行消防监督抽查,现将2020年10月份“双随机、一公开”消防监督抽查结果公示如下:
您访问的链接即将离开“汕尾市人民政府门户网站”,是否继续?
map